沭阳碧盈房地产开发有限公司开发的碧桂园天骄公馆
1幢、2幢、5幢、9幢、15幢商品房公证摇号选房公告
为公开、公平、公正、有序地开展沭阳碧盈房地产开发有限公司开发的碧桂园天骄公馆1幢、2幢、5幢、9幢、15幢商品房公证摇号选房,根据沭阳县城区商品房销售的相关政策及沭阳碧盈房地产开发有限公司的申请,现将沭阳县碧桂园天骄公馆1幢、2幢、5幢、9幢、15幢商品房(共5幢,368套,47220.4平方米,均价10560元/平方米,本次公证摇号选房涉及的所有商品房无限售房源,全部参与公证摇号选房,具体房源及价格情况见附件)公证摇号选房有关事项公告如下:
一、线上报名
(一)报名时间:2021年3月23日 17:00-2021年3月27日17:00
(二)报名方式:
进入“江苏省沭阳县公证处微信公众号”,通过微信公众号底部菜单栏进入“线上报名”系统完成报名。
注意事项:
1、线上报名时请仔细填写信息,确认无误后再提交,一经提交无法修改,因信息填写错误导致无法参与公证摇号的后果由认购人本人承担。
2、请准确填写手机号码,我处通过该号码以短信的形式将相关通知发送至该号码,视为我处已通知告捷。
二、线上验资
(一)验资时间:2021年3月23日 17:00-2021年3月27日17:00
(二)验资方式:
1、查询征信:按揭*款贷**购房意向人应提前到中国人民银行查询本人征信情况,在签订《碧桂园天骄公馆认购书》后若因认购人不具备购房或*款贷**条件继而无法继续履约的,认购人应承担违约责任,开发企业有权要求认购人一次性付款或单方面解除认购书,解除认购书的房源我处再次组织公证摇号选房。
2、开卡:至中国银行或建设银行开立认购人本人的借记卡(已有卡的认购人无需重复开卡)。
3、存款:将验资金额存入开立的借记卡中,本次验资金额为人民币¥40万元整(根据国家相关政策法规规定,禁止使用*用卡信现套**、信用货款等方式支付,因此产生的任何责任由认购人自行承担)。
4、冻结:线上验资期间*载下**“中国银行手机APP“或“建设银行手机APP"完成冻结。未告捷购买碧桂园天骄公馆1幢、2幢、5幢、9幢、15幢商品房的,验资银行在选房结束后将资金解冻。
三、报名公示
我处将在 “线上报名”和“线上验资”结束后,对“线上报名”和“线上验资”数据进行核对,筛选出有效的报名数据,将报名信息在“江苏省沭阳县公证处微信公众号”上进行公示。
公示时间:2021年3月28日 11:00-2021年3月29日 12:00
注意事项:
1、完成“线上报名”和“资金冻结”两个步骤后方视为报名告捷,报名告捷后方可参加公证摇号,因缺失任一步骤而导致验资未告捷不能参加公证摇号的后果由认购人本人承担。
2、一个身份证号仅可报名、验资一次、对应一个线上报名号、不能重复验资,一个报名号仅可对应认购一套房源,线上报名人姓名须与银行冻资、选房认购等全过程中保持一致(即验资人姓名即日后产权人姓名),一律不得更名,否则取消其购房资格。
四、公证摇号
1、摇号时间: 2021年3月29日15:00
2、摇号地点:江苏省沭阳县公证处
3、摇号方式:为确保公平、公开、公正,摇号采用软件摇号的方式,摇号软件系我处委托江苏慧世联网络科技有限公司开发,经过南京市产品质量监督检验院检测。摇号由公证员全程操作,并同步网络直播。
4、摇号规则:摇号号码为认购人线上报名的顺序号,公证处使用电脑软件对报名号进行随机排序,摇号结果即为认购人开盘选房顺序号。
5、见证代表:从线上验资告捷的认购人中任意选择10名认购人至沭阳县公证处现场观看摇号,未选中见证代表的认购人请通过沭阳县公证处微信公众号观看直播。
6、摇号公示:公证摇号结束后,本处立即将摇号结果在“江苏省沭阳县公证处微信公众号”上进行公示。公示时间:2021年3月29日17:00-2021年3月30日 17:00
五、公证选房
1、选房时间: 2021年3月31日09:00
2、选房方式:现场开盘选房
3、选房地点:沭阳县碧桂园天骄公馆营销中心
4、操作步骤
(1)按照本处摇出的选房顺序号,认购人持本人身份证、户口簿原件及复印件按规定选房时间至选房地点参加选房活动,并服从现场指挥。
(2)认购人应当亲自参加或公证委托他人参加选房活动,工作人员核对认购人或认购人的代理人的身份并监督其签到,认购人或认购人的代理人在选房等候区等候选房。
(3)每6个号为一组同时进行选房,前号放弃的、后续认购人依次替补。若在本处规定的选房时间开始、报选房顺序号3次后现场未应答的,视为认购人自动放弃本次选房资格。
(4) 公证选房现场除设立选房等候区外,另设立预选室和正选室。根据公证摇号顺序,选房人按每批次5组首先进入预选室进行预选斟酌,预选斟酌时限为15分钟,然后仍然根据公证摇号顺序,按6个号为一组进入正选室进行公证选房,时限为2分钟。
(5)选房告捷后签订《碧桂园天骄公馆认购书》,房源售完后不再替补、后续选房顺序号自动作废。
5、本次公证摇号选房,从报名、摇号到选房全过程邀请人民监督员、县住建局工作人员、群众代表等进行现场监督。
6、特别提示
(1) 选房等候区、预选室和正选室设立公证选房结果公示屏幕或销控表,适时公布公证选房结果。
(2)若开盘当天认购人在规定时间内没有选择自己心仪的房源并未签订《碧桂园天骄公馆认购书》,则视为自动放弃本次选房资格。
(3)本着公平公正的原则,在此次房源选房的过程中,请认购人在选择房源前仔细核对房号、户型等信息,一旦确定,不得改变。
(4)未完成线上验资、未参与公证摇号、当天新来访的认购人,不能参与本次选房。
(5)《碧桂园天骄公馆认购书》上签署的姓名及身份信息必须与银行冻结资金、线上报名的相符一致。全过程禁止以任何形式转让、更名及退订房源,否则取消其购房资格。
(6)本处不接受企业单位及团体名义申购,不接受本人之外的代购、代办业务,不接受中介机构代理业务。否则,取消其购房资格。
(7)关于签约:签署《碧桂园天骄公馆认购书》后,验资款人民币¥40万元自动转为购房款,验资款不足商品房总价30%的部分由认购人于签订《商品房买卖合同》当日一次性补足。自本处出具选房结果公证书之日起7日内认购人须配合开发企业完成网签工作,若认购人未在规定时间内网签和缴纳首付款,则视为逾期、认购人违约。
(8)付款方式:若认购人选择一次性付款,则于签订认购书后的7日内付清全部楼价款;若认购人选择公积金*款贷**、商业*款贷**或组合*款贷**,剩余首付款则于签订认购书7日内付清,需*款贷**的部分房款根据银行按揭年限和*款贷**额度办理按揭。
四、防疫措施
在选房现场,开发企业要做好疫情防控及应急方案,具体为:
1、设置体温监测、消毒:凡来访认购人需出示苏康码,进行体温测量消毒进入,现场准备8个体温枪、酒精。
2、佩戴口罩:现场选房过程中,工作人员与认购人全程佩戴口罩, 沭阳碧盈房地产开发有限公司现场准备口罩2000个。
3、人数限制:为减少更多人员聚集,每个顺序号仅限2人参与选房活动,每个顺序号至多拥有2分钟选房时间。
五、安保措施
沭阳碧盈房地产开发有限公司将报备至沭阳县公安局,申请安检门2副、安检人员8人、保安人员90人、特勤队员10人维持现场秩序。
六、免责声明及重要提醒
1、选房当天请保持手机电量充足,认购人因手机、网络、电量、银行账户、选房迟到等其他个人外部因素而导致无法取得摇号号码或无法选到房源,均由当事人本人自行承担。
2、禁止违规选房:当事人应遵守开盘方案的相关规定,不得阻扰其他当事人选房,经发现,将取消其选房资格,并追究相关的法律责任。
3、本次公证摇号选房对房源的说明以及项目的相关信息、图片等,均由开发企业提供,仅供当事人参考,不构成对房源的任何担保。买卖双方的权利义务以《商品房买卖合同》约定的内容为准。
4、本次选房活动计价货币为人民币,选房时成交价即为房价,不含在办理房屋产权证等发生的全部费用和税费。
5、除我处发布的碧桂园天骄公馆1幢、2幢、5幢、9幢、15幢商品房公证摇号选房公告外,不要相信其他任何承诺。
6、车位和储藏室在县公证处和县住建局监督下自愿购买,不进行*绑捆**销售。
7、为保障当事人的合法权益 ,请详细阅读本公告及购房认购书、沭阳普通商品住房价格表、《商品房买卖合同》及其补充协议等附件, 因当事人原因提交资料错误等情况,造成的后果由当事人承担。若有疑问,在工作时间请与下列联系电话进行咨询:
县司法局监督电话:0527-88321000
县公证处咨询电话:0527-83661155
县住建局咨询电话:0527-80818057
县住建局监督电话:0527-80818066
中国银行咨询电话:18605269311(黄伟)
建设银行咨询电话:18800629633(李梦娇)
附:1、沭阳县碧桂园天骄公馆认购书
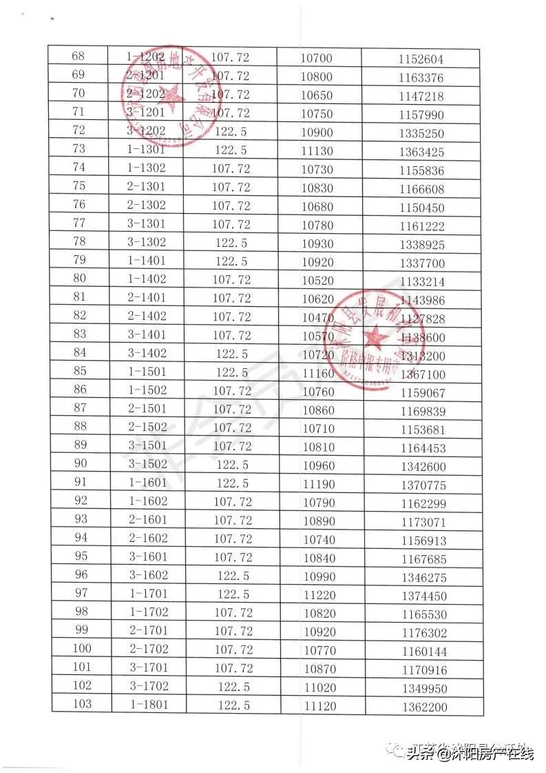
2、沭阳县碧桂园天骄公馆1幢、2幢、5幢、9幢、15幢普通商品住房价格表
3、《商品房买卖合同》及其补充协议
沭阳县公证处
2021年3月23日
附件1:
沭阳碧桂园天骄公馆商品房认购书
甲方(出卖人): 沭阳碧盈房地产开发有限公司
通讯地址: 沭阳县南湖街道松江路北侧,北京南路东侧
乙方(买受人):
身份证号码:
住 址:
联系电话:
甲乙自愿按照沭阳县城区商品房销售的相关政策及《沭阳碧盈房地产开发有限公司开发的碧桂园天骄公馆1幢、2幢、5幢、9幢、15幢商品房公证摇号选房公告》的要求,通过县公证处公证摇号选房方式进行商品房交易,乙方自愿认购甲方开发的沭阳县碧桂园天骄公馆商品房,为保护商品房交易双方合法权益,特达成如下协议:
一、乙方所认购商品房为: 幢 单元 室;建筑面积: 平方米(其中套内面积: 平方米,分摊面积: 平方米,最终以实测面积为准);该商品房单价(人民币): 元/平方米,总价(人民币)大写: 佰 拾 万 仟 佰 拾 元 角 ,小写(人民币)¥: 元整。 二、乙方选择付款方式为 ;〔注两种方式:一次性付款,银行按揭*款贷**(含公积金*款贷**)〕
三、签约及付款时间:
乙方应于选定商品房后当场与甲方签订本认购书,本认购书签订的当日,验资款中人民币贰万元自动无息转为定金。乙方应于公证机构出具选房结果公证书之日起7日内配合甲方签订《商品房买卖合同》,《商品房买卖合同》签订时验资款(含定金贰万元)自动无息转为首付款,验资款不足商品房总价30%的部分由乙方于签订《商品房买卖合同》当日一次性补足。
四、甲方义务:
1、自公证机构出具选房结果公证书之日起7日内与乙方签订《商品房买卖合同》,但乙方拒绝签订的除外。
2、乙方选定商品房后当场签订本认购书,自公证机构出具选房结果公证书之日起7日内甲方必须为乙方保存所认购商品房。
五、乙方义务:
1、乙方通过公证摇号选定商品房后,应当场签订本认购书,并同意将验资款中人民币贰万元自动无息转为定金,自公证机构出具选房结果公证书之日起7日内与甲方签订《商品房买卖合同》,《商品房买卖合同》签订时验资款(含定金贰万元)自动无息转为首付款,否则视为违约、自动放弃所选商品房,该商品房按照沭阳县商品房销售政策进行销售。
2、乙方选择银行按揭付款方式的,在签订本认购书之前必须完全知悉本人征信情况、按揭*款贷**办理条件,并承诺能够提供符合按揭*款贷**银行要求的放贷条件全部资料。
3、乙方签订本认购书后无权向甲方要求调换本协议认购商品房。
六、违约责任
1、因不可抗力不能履行合同的,根据不可抗力的影响,部分或者全部免除责任,但法律另有规定的除外。当事人迟延履行后发生不可抗力的,不能免除责任。
2、若乙方未按时或拒绝签署所认购商品房的《商品房买卖合同》的,则视为乙方违约,乙方已付的定金贰万元甲方不再退还。
七、其他:
1、已经签订《商品房买卖合同》的,按《商品房买卖合同》有关约定执行。
2、甲乙双方在填写本认购协议书时,已清晰明确认购书中的各项条款。
3、甲方销售车位、储藏室必须符合政府相关规定,但不得*绑捆**销售,必须遵循乙方自愿原则进行车位、储藏室交易,否则自愿接受政府相关部门处罚,并退还车位、储藏室已交款项。
4、甲乙双方有一方拒不履行违约责任的,守约方能够向当地人民法院依法诉讼。
5、本认购书经甲乙双方签字盖章之日起生效。本认购书一式 贰 份,甲方执 壹 份,乙方执 壹 份,具有相同法律效力。
甲方(盖章): 乙方(盖章):
签订日期:
附件2:
沭阳县碧桂园天骄公馆1幢、2幢、5幢、9幢、15幢普通商品住房价格表
















附件3:沭阳县碧桂园天骄公馆《商品房买卖合同》及其补充协议
编号:
商品房买卖合同
江苏省工商行政管理局
监制
江苏省住房和城乡建设厅
重 要 提 醒
1、购房前,检查开发企业有无《预售许可证》,确定所购房屋应在预售房屋范围,否则不要交任何定金(订金)、购房款。拒绝任何不正规程序的收取定金(订金)行为,一旦发现被骗应及时报警。
2、所购商品住房的销售价格应经过县发改局备案,核对销售单价不得超过县发改局备案价格。
3、不要轻信销售人员口头承诺,不要相信其宣称的一手房源能够通过非正常途径优先选房、购房行为。
4、在缴纳定金(订金)时,购房人同时应签订商品房认购书,且主要内容应包含所购房屋的房号、面积、单价等主要条款。定金(订金)、首付款等应以转账形式直接存入本重要提醒公布的下列监管账户。
5、出售具有产权性的储藏室和地下停车位(库),也应取得预售许可或办理现售备案方可对外销售,并将价格一次性告知购房者,不得与商品房*绑捆**销售。
6、签订合同前,仔细阅读购房合同条款,并签订网上备案合同。不能签订手写合同,谨防欺骗。 7、商品房取得《工程竣工验收备案表》后,方可交付使用,同时应向购房户提供《住宅质量保证书》和《住宅使用说明书》。
8、在房屋交付时因开发企业责任不能办理不动产权证的,应要求开发企业迅速办理或协助购房人自行办理不动产权证,否则可根据合同约定拒绝收房。
9、出现合同纠纷,买卖双方能够依据合同条款主张权利,或采取诉讼方式依法解决。
10.买卖双方确保预售款全部进入监管账户:
主监管银行为: 监管账户为:
补充监管银行为: 监管账户为: 补充监管银行为: 监管账户为:
投诉和监督电话:0527-83569030、83572331
本人(买受人)对以上内容已仔细阅读,并将在购房过程中认真对待。
买受人签字:
商品房买卖合同说明
1、本合同文本为示范文本,也可作为签约使用文本。签约之前,买受人应当仔细阅读本合同内容,对合同条款及专业用词理解不一致的,可向当地房地产开发主管部门咨询。
2、本合同所称商品房是指由房地产开发企业开发建设并出售的房屋。
3、为体现合同双方的自愿原则,本合同文本中相关条款后都有空白行,供双方自行约定或补充约定。双方当事人能够对文本条款的内容进行修改、增补或削减。合同签订生效后,未被修改的文本印刷文字视为双方同意内容。
4、本合同文本中涉及到的选择、填写内容以手写项为优先。
5、对合同文本【 】中选择内容、空格部位填写及其他需要删除或添加的内容,双方应当协商确定。对于实际情况未发生或买卖双方不作约定时,应在空格部位打×,以示删除。
6、在签订合同前,出卖人应当向买受人出示应当由出卖人提供的有关证书、证明文件。
7、本合同条款由中华人民共和国住建部和国家工商行政管理局负责解释。
商品 房 买 卖 合 同
(合同编号: )
合同双方当事人:
出卖人:
注册地址:
营业执照注册号:
企业资质证书号:
法定代表人: 联系电话: 邮政编码:
委托代理人: 地址:
邮政编码: 联系电话:
委托代理机构:
注册地址:
营业执照注册号:
法定代表人: 联系电话: 邮政编码:
买受人:
○【本人】○【法定代表人】姓名: 国籍:
证件名称:○【身份证】○【护照】○【营业执照注册号】○【 】
证件号码:
地址:
邮政编码: 联系电话:
○【委托代理人】○【 】姓名: 国籍:
注册地址:
邮政编码: 联系电话:
根据《中华人民共和国合同法》、《中华人民共和国城市房地产管理法》及其他有关法律、法规之规定,买受人和出卖人在平等、自愿、协商一致的基础上就买卖商品房达成如下协议:
第一条 项目建设依据
出卖人以_____________方式取得位于______________、编号为_____________ _的地块的土地使用权。○【土地使用权出让合同号】○【土地使用权划拨批准文件号】○【划拨土地使用权转让批准文件号】为________________。
该地块土地面积为_________________,规划用途为________,土地使用年限自______年_____月_____日至______年_____月______日。
出卖人经批准,在上述地块上建设商品房,○【现定名】○【暂定名】 ______碧桂园天骄公馆______ _。
建设工程规划许可证号为____________,施工许可证号为___________________。
第二条 商品房销售依据
买受人购买的商品房为○【现房】○【预售商品房】。预售商品房批准机关为__________________ _____,商品房预售许可证号为_________________________________。
第三条 买受人所购商品房的基本情况
买受人购买的商品房(以下简称该商品房,其房屋平面图见本合同附件一,房号以附件一上表示为准)为本合同第一条规定的项目中的:
第___________○【幢】○【座】第___________○【单元】○【层】___________号房。
该商品房的用途为___ 住宅 _____,房屋性质为___________,属________________结构,层高为______ _____,建筑层数地上___________层,地下___________层。
该商品房阳台是○【封闭式】○【非封闭式】○【无】○【详见合同约定】。
该商品房○【合同约定】○【产权登记】建筑面积共___________________平方米,其中,套内建筑面积___________平方米,公共部位与公用房屋分摊建筑面积_______________平方米(有关公共部位与公用房屋分摊建筑面积构成说明见附件二)。
第四条 计价方式与价款
出卖人与买受人约定按下述第___1__种方式计算该商品房价款:
1、按建筑面积计算,该商品房单价为(___________币)每平方米_________________元,总金额为(___________币)_____仟_____佰_____拾_____万_____仟_____佰_____拾_____元整。
2、按套(单元)计算,该商品房总金额为(__×_币)__×__仟_×__佰_×_拾_×_万_×_仟__×__佰__×__拾__×_元整。
3、储藏室编号(__×___),面积(__×___)平方米,单价为(__×__币)每平方米____×____元,总金额为(__×___币)__×_仟_×_佰_×_拾_×_万_×_仟_×__佰_×__拾_×_元整。
综上,合计总房款为(______ __币)_____仟_____佰_____拾_____万_____仟_____佰_____拾_____元整,小写:(____ _____)元整。
第五条 面积确认及面积差异处理
根据当事人选择的计价方式,本条规定以【建筑面积】(本条款中均简称面积)为依据进行面积确认及面积差异处理(当事人选择按套计价的,不适用本条约定)。
合同约定面积与产权登记面积有差异的,以产权登记面积为准。
商品房交付后,产权登记面积与合同约定面积发生差异,双方同意按以下原则处理:
1、面积误差比绝对值在3%以内(含3%)的,据实结算房价款;
2、面积误差比绝对值超出3%时,买受人有权退房。
买受人退房的,出卖人应在买受人提出退房之日起30日内将买受人已付款全部退还给买受人,并根据买受人付款之日起至退还全部已付款之日止期间的中国人民银行同期同类存款利率按日向买受人支付利息。
买受人不退房的,产权登记面积大于合同约定面积时,面积误差比在3%以内(含3%)部分的房价款由买受人补足;超出3%部分的房价款由出卖人承担,产权归买受人。产权登记面积小于合同登记面积时,面积误差比绝对值在3%以内(含3%)部分的房价款由出卖人返还买受人;绝对值超出3%部分的房价款由出卖人双倍返还买受人。
面积误差比=(产权登记面积-合同约定面积)/合同约定面积×100%
因设计变更造成面积差异,双方不解除合同的,应当签署补充协议。
第六条 付款方式及期限
买受人按下列第___________________种方式按期付款:
1、一次性付款。买受人应当在______年______月_____日前支付该商品房全部价款。
2、分期付款。买受人应当在_______年_______月_____日前分______期支付该商品房全部价款,首期房价款______(币种)______ 元(大写:________元整),应当于_______年______月_________日前支付。
买受人应于 年 月 日前,付该商品房总房价款的 %给出卖人,即 仟 佰 拾 万 仟 佰 拾 元整;
买受人应于 年 月 日前,付该商品房总房价款的 %给出卖人, 即 仟 佰 拾 万 仟 佰 拾 元整。
3、按揭*款贷**,买受人于《商品房买卖合同》签订之日支付房款首付款(___________币)(__________)元整,剩余房款(__________币)(___________)元整由买受人申请银行按揭*款贷**(其中,商业*款贷**______ __元,住房公积金*款贷**______ __元),并自合同签订之日起15日内把银行按揭*款贷**手续办理完毕。
买受人签订《商品房买卖合同》之日一次性付清储藏室款(__×_币)(__×__)元整。
第七条 买受人逾期付款的违约责任
买受人如未按本合同规定的时间付款,按下列方式处理:
按逾期时间,分别处理(不作累加)
1、逾期在90日之内,自本合同规定的应付款期限之第二天起至实际全额支付应付款之日止,买受人按日向出卖人支付逾期应付款万分之一点五的违约金,合同继续履行;
2、逾期超过90日后,出卖人有权解除合同。出卖人解除合同的,买受人按累计应付款的百分之一向出卖人支付违约金。买受人宁愿继续履行合同的,经出卖人同意,合同继续履行,自本合同规定的应付款期限之第二天起至实际全额支付应付款之日止,买受人按日向出卖人支付逾期应付款万分之一点五的违约金。
本条中的逾期应付款指依照本合同第六条规定的到期应付款与该期实际已付款的差额;采取分期付款的,按相应的分期应付款与该期的实际已付款的差额确定。
第八条 交付条件及期限
出卖人应当在_____年_____月_____日前,依照国家和地方人民政府的有关规定,将房屋交付买受人使用,交付时须取得《工程竣工验收备案表》,同时买受人能够办理权属登记,并符合本合同第十四条的约定。
但如遭遇不可抗力、国家建设致使规划改变、重大政策性影响、因市政规划等因素导致建设延长,非因出卖人原因导致延期交付,除双方协商同意解除合同或变更合同外,出卖人可据实予以延期交付。
第九条 出卖人逾期交房的违约责任
除本合同第八条规定的特殊情况外,出卖人如未按本合同规定的期限将该商品房交付买受人使用,按下列方式处理:
按逾期时间,分别处理(不作累加)
1、逾期不超过90日,自本合同第八条规定的最后交付期限的第二天起至实际交付之日止,出卖人按日向买受人支付已交付房价款万分之一点五的违约金,合同继续履行;
2、逾期超过90日后,买受人有权解除合同。买受人解除合同的,出卖人应当自买受人解除合同通知到达之日起30日内退还全部已付款,并按买受人累计已付款的百分之一向买受人支付违约金。买受人要求继续履行合同的,合同继续履行,自本合同第八条规定的最后交付期限的第二天起至取得《工程竣工验收备案表》之日止,出卖人按日向买受人支付已交付房价款万分之一点五的违约金。
第十条 规划、设计变更的约定
经规划部门批准的规划变更、设计单位同意的设计变更导致下列影响到买受人所购商品房使用功能的,出卖人应当在有关部门批准同意之日起一周内,通知买受人:买受人有权在通知起15日内做出是否退房的答复。买受人在通知起15日内未作答复的,视同接受变更。
买受人退房的,出卖人应当自买受人解除合同通知到达之日起15日内退还全部已付款,并按买受人付款之日起至退还全部已付款之日止,出卖人按日向买受人支付已交付房价款万分之一点五的赔偿金。
第十一条 交接
商品房在取得《工程竣工验收备案表》后,出卖人应当书面通知买受人办理交付手续。双方进行验收交接时,出卖人应当出示《工程竣工验收备案表》,并签署房屋交接单。所购商品房为住宅的,出卖人还需提供《住宅质量保证书》和《住宅使用说明书》。出卖人不出示《工程竣工验收备案表》、《住宅质量保证书》和《住宅使用说明书》或出示证明文件不齐全,买受人有权拒绝接收,由此产生的延期交房责任由出卖人承担。
在达到本合同约定交付条件的前提下, 买受人收到出卖人通知15日内,未与出卖人办理交付手续的,由此产生的延期交房责任由买受人承担。
第十二条 出卖人保证销售的商品房没有产权纠纷和债权债务纠纷。 因出卖人原因,造成该商品房不能办理产权登记或发生债权债务纠纷的,由出卖人承担全部责任。
第十三条 出卖人关于装饰、设备标准承诺的违约责任
出卖人交付使用的商品房的装饰、设备标准应符合双方约定(附件三)的标准。达不到约定标准的,买受人有权要求出卖人按照下述第__ _2_ __种方式处理:
1、 出卖人赔偿双倍的装饰、设备差价 ;
2、 经双方选定的鉴定部门确认后,由出卖人在合理期限内恢复到约定标准 ;
3、______×_____。
第十四条 出卖人关于基础设施、公共配套建筑正常运行的承诺
出卖人承诺与该商品房正常使用直接关联的下列基础设施、公共配套设施应达到使用条件:
1、 供水设施、排水设施、供电设施、电话通信设施、燃气设施、有线电视设施在商品房交付前按规划报建建设完毕 ;
2、 地暖设施在商品房交付前按规划报建建设完毕,该地暖设施非市政集中供暖、为燃气壁挂炉方式采暖,由买受人自行到燃气公司开通燃气后使用,燃气费由买受人承担。该地暖设施仅在客餐厅、走道、卧室、玄关、卫生间干区供暖 ;
3、 × ;
4、 × 。
如果在规定日期内未达到使用条件,双方同意按以下方式处理:
1、 上述基础设施设备在约定交付日未建设完毕的,每一项每逾期一日,则出卖人应向买受人支付 元的违约金,但出现出卖人可按约据实延期的情况除外 ;
2、 × ;
3、 × ;
第十五条 关于前期物业管理的约定:
1、买受人同意本小区前期物业服务由出卖人选聘的__________________________(物业公司名称)负责,同意在交房前与该公司签订物业服务合同,并按时交纳物业费。
2、物业服务主要内容(具体详见前期物业服务合同)为:(1)综合管理服务;(2)安保服务;(3)卫生保洁;(4)房屋及设施设备维护;(5)绿化养护。
3、物业服务时间从______年______月______日到______年______月______日。
4、服务标准按《沭阳县普通住宅物业服务等级标准》 级物业服务标准。
5、物业服务期间,物业收费计费方式为○【包干制】○【酬金制】○【______】,暂定收费标准为多层住宅______ 元/㎡.月,高层住宅______ 元/㎡.月,商业为______元/㎡.月(最终以物价、住建部门核定的物业服务等级、收费标准为准)。
6、 买受人同意由出卖人选聘的前期物业服务企业代为查验并承接物业的共用部位、共用设施设备,出卖人应当将物业功能共用部位、公用设施设备承接查验的备案情况书面告知买受人。
7、 买受人已详细阅读前期物业服务合同和临时管理规约,同意由出卖人依法选聘的物业服务企业实施前期物业管理,遵守临时管理条约。业主委员会成立后,由业主大会决定选聘或续聘物业服务企业。
该商品房前期物业服务合同、临时管理规约见附件。
第十六条 关于产权登记的约定
出卖人应当在商品房交付使用的同时,协助买受人办理权属登记。如因出卖人的责任,买受人所购商品房不能在交付使用时达到申请不动产登记条件的,双方同意按下列方式处理:
合同继续履行,自该商品房交付使用后第2日起至买受人所购商品房能够达到申请不动产登记条件之日止,出卖人按日向买受人支付已交付房价款万分之一点五的违约金。
第十七条 保修责任
买受人购买的商品房为商品住宅的,《住宅质量保证书》作为本合同的附件。出卖人自商品住宅交付使用之日起,按照《住宅质量保证书》承诺的内容承担相应的保修责任。
买受人购买的商品房为非商品住宅的,双方应当以合同附件的形式详细约定保修范围、保修期限和保修责任等内容。
在商品房保修范围和保修期限内发生质量问题,出卖人应当履行保修义务。因不可抗力或者非出卖人原因造成的损坏,出卖人不承担责任,但可协助维修,维修费用由买受人承担。
第十八条 房屋质量问题的约定
商品房交付使用后,买受人认为主体结构质量不合格的,可与开发企业共同选定具备相应资质的建设工程鉴定机构进行鉴定。确属主体结构质量不合格的,买受人有权解除合同,鉴定费用由开发企业承担;鉴定合格的鉴定费用由买受人承担。
第十九条 双方能够就下列事项约定
1、该商品房所在楼宇的屋面使用权 属全体业主共有 ;
2、该商品房所在楼宇的外墙面使用权 属全体业主共有 ;
3、地上规划停车位所有权 归全体业主所有 。
第二十条 买受人对该商品房仅作_住宅__ 使用,买受人使用期间不得擅自改变该商品房的建筑主体结构、承重结构和用途。除本合同及其附件另有规定外,买受人在使用期间有权与其他权利人共同享用与该商品房有关联的公共部位和设施,并按占地和公共部位与公用房屋分摊面积承担义务。
出卖人不得擅自改变与该商品房有关联的公共部位和设施的使用性质。
第二十一条 本合同在履行过程中发生的争议,由双方当事人协商解决;协商不成的,按下述第_ __2_ __种方式解决:
1、提交____×______仲裁委员会仲裁。
2、依法向人民法院起诉。
第二十二条 本合同未尽事项,可由双方约定后签订补充协议(附件四)。
第二十三条 合同附件与本合同具有同等法律效力。本合同及其附件内,空格部分填写的文字与印刷文字具有同等效力。
第二十四条 本合同连同附件共______页,一式______份,具有同等法律效力,合同持有情况如下:
出卖人______份,买受人______份,____ __份,_____ _______份。
第二十六条 本合同自双方签订之日起生效。本合同条款内容如与其它补充协议有冲突,应以本合同条款内容为主。
第二十五条 商品房预售的,自本合同生效之日起30天内,由出卖人向_______________申请登记备案。
出卖人(签章): 买受人(签章):
【法定代表人】: 【法定代表人】:
【委托代理人】: 【委托代理人】:
(签章) (签章)
销售人员姓名:
岗位证书编号:
______年______月______日 ______年______月______日
签于 签于
特别提醒:请购房人将预售房款缴入预售资金指定监管帐户。
附件一:房 屋 平 面 图
附件二:公共部位与公用房屋分摊建筑面积构成说明
该商品房的公共部位与公用房屋分摊的建筑面积按照国家规定的标准、规范、规则执行。纳入该商品房分摊的共用部位的名称、面积和所在位置以政府规划审批文件为准。
附件三:装饰、设备及节能标准
1、外墙(以施工图纸为准):
2、内墙(以施工图纸为准):
3、顶棚、屋面(以施工图纸为准):
4、地面(以施工图纸为准):
5、屋面(以施工图纸为准):
6、门窗(以施工图纸为准):
7、厨房(以施工图纸为准):
8、卫生间(以施工图纸为准):
9、阳台(以施工图纸为准):
10、电梯:(注明品牌):
11、太阳能:(注明品牌):
12、单元门、入户门(注明品牌):
13、其他:
附件四:合同补充协议
买卖双方就编号 号《商品房买卖合同》(以下简称合同)的未尽事宜经充分协商自愿达成本补充协议,供买卖双方共同遵守。
第一条 商品房基本情况
双方一致同意:合同第三条中约定的“层高”为该商品房设计的自然层的高度。
第二条 按揭分期付款的补充约定
买受人采取合同第六条第3款按揭*款贷**方式支付房价款的,买受人必须在 年 月 日前,付该商品房总房价款的 %给出卖人,即 仟 佰 拾 万 仟 佰 拾 元整。
第三条 关于该商品房交付条件与交付手续
该商品房的基础设施设备的交付标准为:与该商品房正常使用直接关联的供水、供电、电话通信、燃气、地暖(非市政集中供暖,为燃气壁挂炉方式采暖;部分供暖,仅在客餐厅、走道、卧室、玄关、卫生间干区供暖)、有线电视设施在该商品房交付之前按规划报建建设完毕,但可使用的具体时间及条件以供应服务商提供的为准,并由买受人自行申请开通,买受人承诺不因此拒绝收楼。
第四条 本补充协议为合同的有效构成部分,经出卖人和买受人签字(盖章)后随合同生效而生效,一式 份,出卖人 份,买受人 份,具有同等法律效力。
出卖人(签章): 买受人(签章):
签约时间:20 年 月 日