
在人类文明发展历史上,“数的意识”出现具有里程碑的意义。原始人类在与大自然进行斗争的过程中,渐渐明白“有”和“无”、“大”和“小”、多少等等最基本数的概念。一旦原始人类掌握这些“数”,学会运用这些基本“数”的概念来解决生活当中的问题,就宣告人类开始脱离愚昧。
最初“数”的形成从自然数开始,随着人类社会不断发展,简单的自然数已经无法满足人类生活生产的需求,出现了整数、分数、负数等等。“数”的系统也从简单的自然数集扩大到有理数集、实数集、复数集等等。
我们都知道,在实数范围内,负数是没有平方根的,这样我们在解一些方程时候就会显得“无能为力”。进入高中后,把实数集扩大到复数集,负数能够有平方根,相应问题才得以解决。
什么是复数?
我们把形如a+bi(a,b均为实数)的数称为复数,其中a称为实部,b称为虚部,i称为虚数单位。当b=0时,就是实数;当b≠0时叫虚数,当a=0,b≠0时,叫做纯虚数。从集合论角度来说,复数域是实数域的代数闭包,也即任何复系数多项式在复数域中总有根。

从这里我们能够看出,从实数集扩大到复数集,最大功劳归于“虚数”的出现,就像当年无理数的出现,促成实数集的完全。不过不管无理数的出现还是虚数的出现,一开始都不被世人所接受,甚至遭到排挤,幸好无理数并非“无理”,虚数并非“虚无缥缈”,经得起时间和空间的考验。
那么在历史上是如何引进虚数?是哪些伟大数学家把实数集扩充到复数集?今天我们就要一起来简单了解一下。
在公元1世纪时期,希腊数学家海伦在解决平顶金字塔不可能问题时候,简单提到了复数方根,这是先有能够考查到最早复数有关的文献记载。
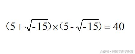
在1545年,意大利米兰学者卡尔达诺在《重要的艺术》一书中,公布了一元三次方程的一般解法,被后人称之为“卡当公式”。卡尔达诺是第一个把负数的平方根写到公式中的数学家,并且在讨论是否可能把10分成两部分,使它们的乘积等于40时,他把答案写成:

尽管他认为和这两个表示式是没有意义的、想象的、虚无飘渺的,但他还是把10分成了两部分,并使它们的乘积等于40。
在1637年,法国数学家笛卡尔在《几何学》中使“虚的数”与“实的数”相对应,这是人类历史上第一次提出“虚数”这一名称,由此虚数开始流传起来。
不过,虽然笛卡尔提出虚数这一概念,一些数学家也开始接受虚数,但对于数学界来说还是新事物,加上当时没有成熟知识系统,因此也引起了数学界的一片困惑,很多大数学家都不承认虚数。
在1702年,德国数学家莱布尼茨就曾说到:虚数是神灵遁迹的精微而奇异的隐避所,它大概是存在和虚妄两界中的两栖物。
瑞士数学家欧拉早期也评价道;虚数是想象的数,因为它们所表示的是负数的平方根。对于这类数,我们只能断言,它们既不是什么都不是,也不比什么都不是多些什么,更不比什么都不是少些什么,它们纯属虚幻。

笛卡尔
欧拉之所以能成为伟大的数学家,也在于他能不断发现问题,不断解决问题,不断进步。在1777年年,欧拉在《微分公式》一文中第一次用i来表示-1的平方根,首创了用符号i作为虚数的单位。
在1722年,法国数学家棣莫弗发现了著名的棣莫佛定理。指的是设两个复数(用三角函数形式表示)Z1=r1(cosθ1+isinθ1),Z2=r2(cosθ2+isinθ2),则:Z1Z2=r1r2[cos(θ1+θ2)+isin(θ1+θ2)]。
棣莫弗定理与瑞士数学家欧拉提出的欧拉公式之间有重要联系。
在1747年,法国数学家达朗贝尔指出,如果按照多项式的四则运算规则对虚数进行运算,那么它的结果总是a+bi的形式(a、b都是实数)。
在1797年,挪威测量学家韦塞尔试图给于这种虚数以直观的几何解释,并首先发表其作法,但在当时没有得到学术界的重视。

欧拉
直到18世纪末期,复数这一概念才慢慢被世人所接受。
在1799年,挪威-丹麦卡斯帕尔·韦塞尔的文章发表的《Proceedings of the Copenhagen Academy》上,当时卡斯帕尔·韦塞尔提出复数可看作平面上的一点,同时他又斟酌球体,得出四元数并以此提出完备的球面三角学理论。以当今复数的标准来看,卡斯帕尔·韦塞尔的理论也是相当清楚和完备。
在1806年,德国数学家高斯公布了虚数的图象表示法,即所有实数能用一条数轴表示,同样,虚数也能用一个平面上的点来表示。
在直角坐标系中,横轴上取对应实数a的点A,纵轴上取对应实数b的点B,并过这两点引平行于坐标轴的直线,它们的交点C就表示复数a+bi。象这样,由各点都对应复数的平面叫做“复平面”,后来又称“高斯平面”。
在1831年,高斯认为复数不够普及,用实数组代表复数,并建立了复数的某些运算,使得复数的某些运算也象实数一样地“代数化”。
在1832年,高斯发表了一篇备忘录,第一次提出了“复数”这个名词。同时高斯把卡斯帕尔·韦塞尔看法再次提出并大力推广,如将表示平面上同一点的两种不同方法:直角坐标法和极坐标法加以综合。统一于表示同一复数的代数式和三角式两种形式中,并把数轴上的点与实数一一对应,扩展为平面上的点与复数一一对应。高斯不仅把复数看作平面上的点,而且还看作是一种向量,并利用复数与向量之间一一对应的关系,阐述了复数的几何加法与乘法。至此,复数的研究开始高速发展,复数理论才比较完全和系统地建立起来,更奠定复数在数学的地位。

高斯
任何一门数学分支的发展和进步,就是一个简单知识点的形成,靠的不仅仅是几个数学家努力才有今天的成果,还有很多数学家默默的付出和奉献其一生。如复数吸引了包括德国数学家库默尔、德国克罗内克、英国数学家德·摩根等等在内许多著名数学家的注意。其中,莫比乌斯发表了大量有关复数几何的短文,约翰·彼得·狄利克雷将很多实数概念,例如素数,推广至复数,特别是经过柯西及阿贝尔的努力,扫除了复数使用的最后顾忌。
前后长达几百年的发展,经过许多数学家长期不懈的努力,深刻探讨并发展了复数理论,从人们怀疑虚数,到接受虚数,并证明它并不是靠个人主观意志想象出来的,而是真实存在的数。
早期数的出现,有理数出现,等等都是伴随人类与大自然作斗争,人类的生产生活实践而产生的。之后无理数的出现,让数学产生第一次危机,同时也让数学取得重大发展。

无理数与有理数相对,实数与虚数相对。实数有多重要,不管数学成绩有多差,相信你多多少少总有一些了解。那么复数有哪些重要功能?或许很多人就不太清楚。
虚数的出现,使实数集扩充到复数集领域,实数域扩大到复数域,这直接促进数学本身的发展,对整个数学发展来说都具有重要的意义。随着现代科学技术的不断进步,数学家和科学家发展复数相关理论对其他学科发展有着重要意义,如为证明机翼上升力的基本定理起到了重要功能;在为解决堤坝渗水的问题起到要害性功能;复数理论为建立巨大水电站提供了重要的理论依据等等。
书山有路勤为径,学海无涯苦作舟。读书学习从来没有捷径能够走,更何况是数学学习,希望大家从复数发展历史当中能学习到,数学学习讲究脚踏实地,勤勤恳恳,同时更不能脱离生活实际,结合生活例子,才能把数学学的更好。