作者 | 林开亮
来源 | 《数学传播》2020年9月(175), 感谢《数学传播》授权转载
在《数学传播》2020 年第1 期刊登的
张进安老师还得到, 对一切正整数 k, 有
他认为(2)式中的k不必限于正整数, 例如取 k=log2, 就有
更进一步, 张进安老师认为能够令 k=logr(注意, 这相当于令), 这里r是一个正数, 从而(2)式成为
[在原文中,(4)式右边分母中的r被误写为。]
张进安老师在文章末尾进一步提出一个问题。他注意到, (4) 中的 r 不必限于正数, 对 r=−2,−3也成立。于是问:有谁能将这个问题说得更清楚?台湾大学数学系张镇华教授在发表于2020 年第2 期《数学传播》的文章中给出了一个清楚的回答, 我们在此给出另一个解决方案并推而广之。
整个文章所讨论的问题, 似乎以生成函数(generating function) 的看法最为直接。令Fibonacci 数列的生成函数为
则一个简单的推理告诉我们, 如果对某个复数z收敛, 则其无穷和G(z)为
推理如下 :
从而
由此就推出(6)。并且, 从等式(7)立即能够看出幂级数(5)对不收敛, 其中
是方程的两根。现在, 通过做变数替换, 张进安老师的问题转化为:
问题: 幂级数(5)究竟对那些复数z收敛呢? (也许张进安老师只斟酌实数。)
回答这类问题的一个基本结果, 是著名的Cauchy--Hadamard 公式。我们引述如下(参见[2][p.73] 定理1.2, 作者称之为Abel 定理, 并将Cauchy--Hadamard 公式称作Hadamard 公式):
定理1 (Cauchy--Hadamard公式):幂级数在以R为半径的圆盘 |z|<R内收敛,其中R叫做敛半径,按照下述公式确定:
且幂级数在这个圆的外部任何点处都发散。
回到的具体情况, 看来我们是要计算这样一个麻烦的上极限
如果我们知道的通项公式, 其实是能够求出上述极限(准确的说, 能够直接算出极限)。当然如果知道的通项公式, 张老师的问题完全能够直接解决(我们留给有兴趣的读者。) 如果不利用的通项公式, 可否求出这个收敛半径R呢?回答是肯定的。
在复变函数中, 我们有下述基本结果(参见 [3][pp. 73--74], 作者概括为函数f(z)在其幂级数收敛圆周上必有奇点, 我们重新表述如下) :
定理2 (Riemann定理):函数f(z)在原点处的幂级数的收敛圆盘, 恰好是使得函数f(z)有定义并且解析的最大圆盘 |z|<R。
据 [6] 讲, Riemann 在1856 年关于复分析的讲义中提出定理2, 并(早于Hadamard) 重新发现了定理1中的公式(9)。
回到幂级数(5), 我们知道, 它是在原点的幂级数,于是根据定理2,(5)的收敛圆盘是使得有定义且解析的最大圆盘|z|<R。因为仅仅在在处没有定义且不解析, 从而容易看出
于是根据定理1," 级数(5)对对一切收敛,而对一切发散。进一步, 利用的通项公式(参见 [20][p.61]) 能够确定, 幂级数(5)在收敛圆周|z|=上均发散。综合起来, 我们得到
收敛⟺|z|<,且此时有=. (11)于是在(11)中令z=, (r≠0), 就得到收敛⟺|r|>,且此时有=.(12)特别地, 在(12)中分别令 r=10,(k为正整数),2 就得到 (1)(2)(3)各式。而(12)所框定的r之取值范围 |r|>(也许他只是斟酌实数值的r) 就是张老师最后的问题的答案。
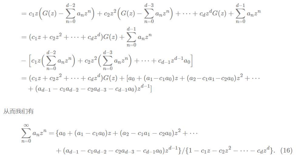
注1:这里介绍的方法适用于由高阶递推关系(给定初值,)
(其中是常数) 给出的数列所对应的幂级数
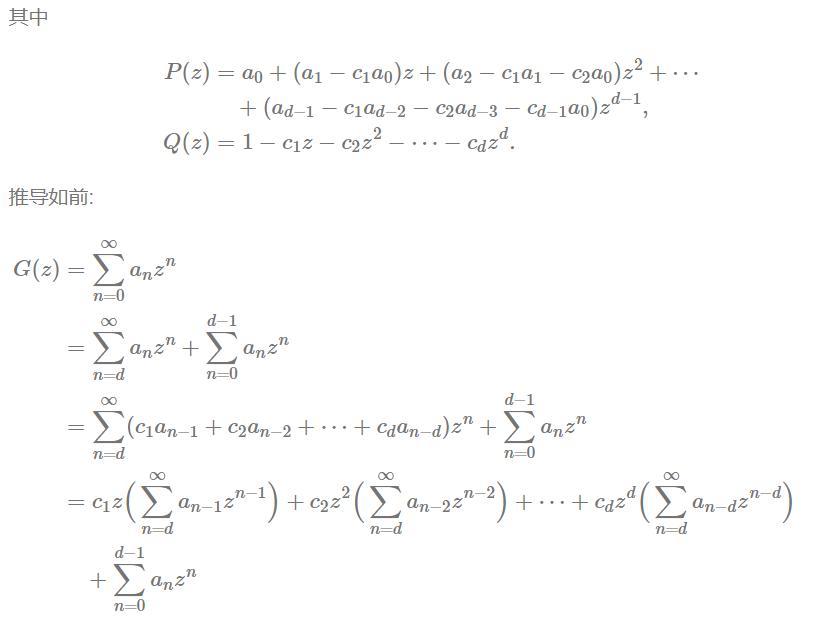
的收敛区域问题之讨论。此时容易确定, 若(14)对某复数z收敛, 则必收敛于其生成函数(推导如前, 也可参见 [1][pp.337--338])

而且能够确定出使得(16)成立的z的一个范围为|z|<R, (17)
其中R能够如下确定。设d(x)是P(x),Q(x)的最大公因式,
则 R=多项式各个根模长之最小者。 (18)
级数(14)对满足的z发散, 对|z|=R上的点则需具体分析[我们在附记中以更简明的方式证明了, 级数(14)的收敛域恰好是|z|<R
我们相信, 这一结果不是新的, 但绝不是人人都了解。值得注意的是, 以上结果包含了 是一个 d−1(d≥1)次多项式的特殊情形, 此时结果更简单。斟酌到这一问题张进安老师曾在另一篇文章[18]提及, 我们特别介绍一下。有下述结果:
定理3:设f(x)是x的d次多项式,则收敛⟺|z|<1,且此时有
其中是f在0处的k阶差分。特别地, 当z=时,有
斟酌到这个情形特别简单, 我们给出一个直接的证明。
证明:根据级数收敛的必要条件,我们推出,当对某z收敛时有
由此容易推出
, 从而<1
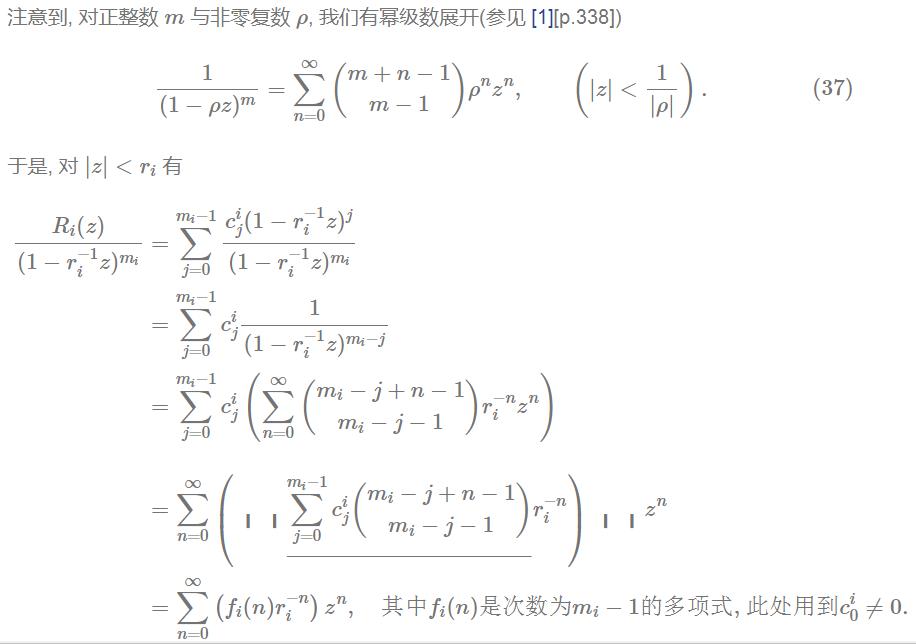
另一方面, 当|z|<1|时, 为证明级数收敛并求出其无穷和, 注意到, 根据朱世杰招差公式(参见 [11][p.67] 定理3), 有
从而我们有
对幂级数等式
在收敛圆|z|<1|内求k阶导, 我们有
变形即得
代入(22)式即得(19)。在(19)式中令, 即得(20),证毕。
注2:我们特别要指明,定理2能够使我们幂级数(23) 的收敛范围是 |z|<1获得更深刻的理解。事实上, 从复变函数的看法来看, 根本的原因就在于复变函数对z=1恰好无定义且不解析, 从而其幂级数收敛半径R=1。讲到这里, 我要与读者分享自学成才的数学家IM Gelfand (1913∼2009) 在16岁期间自学数学分析的一段经历 [16]:
我开始参加大学的研讨班, 在那里我发现自己压力很大。我做数学的方式不合适宜。当时, 数学界掀起了一股风气:对严谨的证明的要求、 对实变函数论的浓厚兴趣。(今天看来, 这种严格性和这个特殊理论已陈腐过时, 但在那时⋯⋯)
直到那时, 我才认识到, 很重要的是:函数未必是连续的, 连续的函数未必是可微的, 一阶可微的函数未必是二阶可微的, 如此等等;甚至一个无穷次可微的函数, 其Taylor 级数也未必是收敛的;即便收敛, 也未必收敛到函数本身。如果函数的Taylor 级数刚巧收敛到它本身, 这个函数就称为解析的。(实变函数论爱好者认为) 这类函数是如此狭窄, 以至于它被排除在主流数学之外。而在此之前, 我就只见过这类函数。
在这种看法的影响下,我读了de la Vallée-Poussin的"现代化的、严格化的"分析教材( Cours d’analyse )。它类似于目前莫斯科大学数学力学系用的教材,但更好一些。因此我很同情那些大一学生,他们只有在历经长达一年的强调"严格基础"的痛苦考验之后,才能体会到数学分析的美妙。
即便如此, 我也是幸运的, 我读了II Privalov 关于单复变函数的卓越教材(指1927 年出版的《复变函数引论》), 有闵嗣鹤等译的中译本)。读这本书时, 我理解了, 为什么函数的Taylor 级数在x=1发散, 虽然它的图像是连续的。(这根源于下述事实:它所对应的复函数在z=i有奇性。)
读完前100 页, 我感到一阵清风拂过。我发现, 如果一个复变函数有一阶导数, 那么就自动有任意阶的导数, 并且其Taylor 级数在某个区域内收敛到函数本身。每样东西都找到了自己的位置, 又恢复了和谐。
张老师 [18],[19]提出的这类问题, 恰好能够利用复变函数的结果(定理2)获得近乎圆满的解决。已故享誉全球之大数学家陈省身先生(1911∼∼2004) 多次强调复数的美妙与重要。比如, 他曾在美国数学会的Notices 访谈中[5] 提到:"My main idea is that you should do topology or global geometry in the complex case. The complex case has more structure and is in many ways simpler than the real case. So I introduced the complex Chern classes." 相信读者已从本文之讨论对复数之美妙有所体会。
注3:最后,我要指出,在上文写成后,为给读者指引一个关于讨论Fibonacci数列通项公式的文献,我从《数学传播》通过要害字搜索,得到意外收获,即发现本刊刊登了几篇与张老师所论问题相关的文献,见[8],[9],[14], 特别是 [14]。这些作者的讨论正是基于Fibonacci 数列的通项公式, 而且只斟酌实数。其结果均可用此处的概念性方法而非计算得到。本文的重点不在于重新推导, 而在于从复变函数的眼光来理解其本质。正如德国大数学家Kronecker (1823∼∼1891)所说:"Analysis does not owe its really significant successes of the last century to any mysterious use of, but to the quite natural circumstances that one has infinitely more freedom of mathematical movement if he lets quantities vary in a plane instead of only on a line."
附记
本文投稿之后, 作者进一步思考了级数(14)在|z|=R上的收敛性问题。蒙昔日恩师指点, 解决了这一问题。结论是:在|z|=R上, 级数 (14)总是发散的。我们表述成以下定理(相信它不是新的)。
定理4:设多项式P(z),Q(z)互素, P(z)的次数小于Q(z)的次数, 且Q(0)≠0。设有理函数在 z=0处有幂级数展开
. 令Q(z)的所有根的模长之最小值为r, 则我们有下述结论:
收敛⟺|z|<r,且此时有
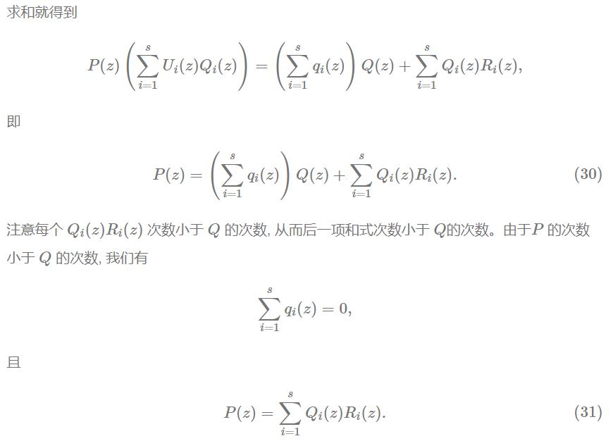
令人惊讶的是, 以下的证明完全避开了幂级数的收敛半径(Abel定理), 也不需要复变函数的Riemann 定理, 只需要一个巧妙的引理(下面的引理1) 和关于有理生成函数的一般展开定理(我们有推导)。

其中是次数为的多项式(这一结果在 [1][p.341] 中被称为有理生成函数的一般展开定理, 作者在那里并未给出详细证明)。因此, 我们只要讨论幂级数
引理1,设是不同的复数, 模长均大于等于1, 是复系数多项式, 令,n=0,1,…, 若, 则是零数列。

再附记
作者在2020 年8 月8 日了解到, 有理函数之幂级数在收敛圆周上不收敛(定理4) 这一结果确实不是新的, 它蕴含于Pólya 和Szegö 的名著《分析中的问题与定理》[15][p.152] 的问题246:
命题1: 设幂级数在收敛圆周上有一个极点,则幂级数在收敛圆周的每一点都不收敛。
其证明用到了E. Cesàro 的一个结果 ([15][p.20] 问题85), 如下:
命题2:设数列{},{}满足以下条件:
1、对 n=0,1,2,…有;
2、对|z|<1收敛而对z=1发散;
3、
则对|z|<1收敛, 并且有
最后, 作者还想补充一个从Fibonacci 数列可能衍出的问题(最初将我引向这个问题的, 是河南大学的陈敏茹博士与学友杨凡)。众所周知, Fibonacci 数列FnFn 前后两项之比的极限恰好为黄金分割数(参见[13]), 即我们有:
所以, 我们也许会问:
命题2:对由一般的常系数线性递推关系(13)所定义的数列{} , 其前后两项之比的极限是否存在;如果存在, 如何确定?
林凤美老师在发表于《数学传播》2019年第4期的文章 [10] 中斟酌了这一问题, 但惋惜的是, 其结果有瑕疵(原因在于, [10][p.103] 倒数第二行公式中的系数可能等于0)。例如, 根据该页定理3, 只要数列{}满足(n≥2), 就有
成立。然而, 若取初值其中, 则根据ω所满足的方程, 容易求出的通项公式为从而
事实上, 问题2已蕴含于Pólya--Szegö[15][p.152] 的问题242, 而且那里的结果更一般:
命题3:设幂级数在收敛圆周上有唯一的奇点, 而且它还是极点, 则有
在常系数线性递推关系所定义的数列的特殊情形, 命题3能够表述为以下形式:
定理5:设多项式P(z), Q(z)互素, P(z)的次数小于Q(z)的次数, 且 Q(0)≠0。设有理函数在z=0处有幂级数展开
若Q(z)的模长最小的根是唯一的, 记为, 则(49)成立。
实际上, 无需借助命题3, 从 (39)(39) 式不难推出定理5, 我们留给有兴趣的读者。
注意, 若 Q(z)最小模长的根不止一个, 那么 (49)不一定成立。例如, 任取非零复数a, 对由
1,a,1,a,… (50)
构成的数列, 容易算出,其生成函数为.
注意, 当 a≠±1时, 这个有理函数的分子与分母互素, 而分母的两个根模长相等。由前后两项之比构成的数列为
它存在极限当且仅当, 即 a=±1。因此, 若 a≠0,±1, 则数列 (50)的前后两项之比就无极限。
从另一种角度看, 等式 (49)意味着, 这给出了求多项式 Q(z)的最小模长零点(假定它唯一) 的一个近似方法, 这本质上就是线性代数中求矩阵的占优特征值与特征向量(dominant eigenvalue and eigenvector) 的幂法(power method), 参见 [17] 6.2 节或 [4][p.81] 1.4 节问题7。
致谢
作者感谢高雄市中正高中张进安老师和《数学传播》诸位编辑老师的鼓励推动!感谢复旦大学邵美悦博士指正初稿的一处误拼并指引文献[17], 并建议我们改用生成函数而非母函数的称谓。感谢审稿人对初稿提出宝贵建议。
参考文献
[1] Ronald Graham, Donald Knuth, Oren Patashnik, Concrete Mathematics , (2nd ed.). Reading, MA: Addison-Wesley. 1994.中译本《具体数学》,张明尧、张凡译。人民邮电出版社, 2013。
[2] 龚升、张德健。 复分析五讲--第一讲。数学传播季刊, 34(2), 52--75, 2010。
[3] 龚升、张德健。 复分析五讲--第三讲。数学传播季刊, 34(4), 50--76, 2010。
[4] Roger A. Horn and Charles R. Johnson, Matrix Analysis(second edition), Cambridge University Press, 2013. 有中译本:《矩阵分析》, 杨奇译。机械工业出版社, 2005年;《矩阵分析》, 张明尧、 张凡译。机械工业出版社, 2014年。
[5] Allyn Jackson, Interview with Shiing Shen Chern , Notices of the AMS , 45(7), 860--865, 1998.
[6] D. Laugwitz, E. Neuenschwander, Riemann and the Cauchy--Hadamard formula for the convergence of power series. Historia Mathematica , 21(1), 64--70, 1994.
[7] 李克大、 李尹裕。《有趣的差分方程》(第2版)。合肥:中国科学技术大学出版社, 2019 年。
[8] 林炳炎。奇妙的费氏数列之一。数学传播季刊, 6(2), 34--38, 1982。
[9]林炳炎。有关费氏数之无穷级数的分数和。数学传播季刊, 7(1), 27--33, 1983。
[10] 林凤美。高阶线性递回数列的一般化费氏螺线。数学传播季刊, 43(4), 99--109, 2019。
[11]林开亮。微积分之前奏(或变奏) :高阶等差数列的求和。数学传播季刊, 41(1), 61--79, 2017。
[12] 林开亮。 解常系数线性微分方程和递推关系的新方法---秦九韶和亥维赛的遗产。数学传播季刊, 43 (2), 63--79, 2019。
[13] 林开亮。从咸道老师梦得的数学题谈起。好玩的数学, 2020年3月24日。
[14] 林智勇、易正明、许天维。以费氏数列表示的无穷级数和与收敛半径。数学传播季刊, 30(3), 53--65, 2006。
[15] George Pólya and Gabor Szegö, Problems and Theorems in Analysis I, Springer, 1978.有中译本, 《数学分析中的问题和定理》, 张奠宙、宋国栋等译。上海:上海科学技术出版社, 1981
[16] VS Retakh and AB Sosinsky, A talk with IM Gelfand , Quantum , Jan-Feb, 1989.有中译文,数学译林,第4期,李锟译, 340--347, 1990.
[17] 徐树方、高立、张平文。《数值线性代数》(第二版)。北京: 北京大学出版社, 2013。
[18] 张进安。2n2n在分母的级数收敛性质。数学传播季刊, 43(3), 56--59, 2019。
[19] 张进安。limn→∞∑ni=0Fi10i=1089limn→∞∑i=0nFi10i=1089的探源与推广 。数学传播季刊, 44(1), 89--93, 2020。
[20] 张镇华。费氏数列与等比数列的交会处。数学传播季刊, 44(2), 58--61, 2020。
---本文作者任教中国西北农林科技大学---
