
三角形是几何图形当中最基本的图形之一,作为一种基本几何图形,我们能够把很多复杂图形都转化为三角形来解决。如连接一个四边形的对角线,就能够把四边形转化成若干个三角形来解决,起到化繁为简的功能,体现了化归与转化的数学思想方法。
正是因为绝大部分的几何图形,我们都能够转化成三角形问题来解决,与三角形相关的几何综合问题一直也是中考数学热门考点之一。因此,今天我们就一起来讲讲如何解决以三角形为基础的动点综合问题。
什么三角形?
由不在同意直线上的三条线段首尾顺次相接所构成的图形叫做三角形。构成三角形的线段叫做三角形的边;相邻两边的公共端点叫做三角形的顶点;相邻两边所构成的角叫做三角形的内角,简称三角形的角。
什么是动点问题?
就是以运动的点、线段、变化的角、图形的面积为基本条件,给出一个或多个变量,要求确定变量与其他量之间的函数等其他关系;或变量在一定条件为定值时,进行相关的计算和综合解答,解答这类题目,一般要根据点的运动和图形的变化过程,对其不同情况进行分类求解。
中考数学,以三角形为基础的动点综合问题,典型例题分析1:
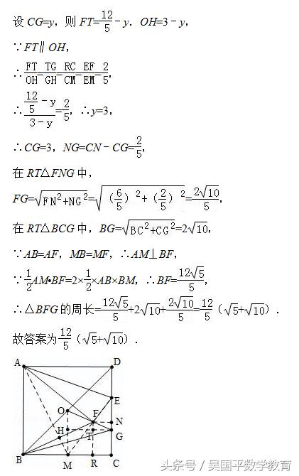
如图,在正方形ABCD中,AB=6,点E在边CD上,DE=DC/3,连接AE,将△ADE沿AE翻折,点D落在点F处,点O是对角线BD的中点,连接OF并延长OF交CD于点G,连接BF,BG,则△BFG的周长是 .


考点分析:
正方形的性质;翻折变换(折叠问题).
题干分析:
如图,延长EF交BC于M,连接AM,OM,作FN⊥CD于N,FR⊥BC于R,GH⊥OM于H交FR于T,首先证明△AMF≌△AMB,得BM=MF,设BM=MF=x,在RT△EMC中利用勾股定理求出x,推出BM=MC,设GC=y,根据FT∥OH,FT/OH=TG/GH=RC/CM=EF/EM=2/5,列出方程求出GC,再想办法分别求出FG、BG、BF即可解决问题。
解题反思:
本题考查正方形的性质、翻折变换、全等三角形的判定和性质、平行线分线段成比例定理、勾股定理等知识,解题的要害是添加辅助线构造全等三角形,利用勾股定理构建方程解决问题,题目比较难,属于中考填空题中的压轴题。
中考数学,以三角形为基础的动点综合问题,典型例题分析2:
如图,在平面直角坐标系中,已知点A(0,2),点P是x轴上一动点,以线段AP为一边,在其一侧作等边三角线APQ.当点P运动到原点O处时,记Q得位置为B.
(1)求点B的坐标;
(2)求证:当点P在x轴上运动(P不与Q重合)时,∠ABQ为定值;
(3)是否存在点P,使得以A、O、Q、B为顶点的四边形是梯形?
若存在,请求出P点的坐标;若不存在,请说明理由.




考点分析:
动点问题;等边三角形;全等三角形;梯形;探索存在问题;压轴题。
题干分析:
(1)在边长为2的正△ABO中,过过点B作BC⊥y轴于点C,由特殊角的三角函数值易求BC,OC=AC=1,从而求出点B的坐标;
(2)由于△ABO和△APQ都是正三角形,得∠PAQ=∠OAB=60°,从而∠PAO=∠QAB,再加上AP=AQ,AO=AB,利用“SAS”可证明△APO≌△AQB,从而∠ABQ=∠AOP=90°总成立,即当点P在x轴上运动(P不与Q重合)时,∠ABQ为定值90°;
(3)梯形中只有一组对边平行,故四边形要是梯形,就得看哪两组对边平行,由(2)易知点Q总在过点B且与AB垂直的直线上,可见AO与BQ不平行.此时,分两种情况讨论AB∥OQ,即点P在原点O的两侧(左右两边时).如下面两图,①左图,在Rt△BOQ中,∠BQO=90°,∠BOQ=∠ABO=60°.又OB=OA=2,可求得BQ,△APO≌△AQB,从而OP=BQ,故此时可求出P的坐标。
②如右图,当AQ∥OB时,在Rt△ABQ中,∠ABQ=90°,∠QAB=∠ABO=60°,由AB=2,可得OP=BQ,从而求出P的坐标。
解题反思:
本题属于中考数学压轴题,在平面直角坐标系中,以两条坐标轴上的一个定点(y轴)与一个动点(x轴)为出发点,构造两个等边三角形,由此设计三个有梯度的问题:第一题是基础题,求定点B的坐标;而第二题求证∠ABQ为定值,从而等边三角形的性质不难发现:通过证明两三角形全等能够解决问题;真正压轴是最后一问,探索当以A、O、Q、B为顶点的四边形是梯形时动点P的坐标,这会让大多数考生非常纠结的问题:当静下心来思索,就会发现AO与BQ不平行,此时目标只指另外一组对边AB∥OQ,结合第二问题的结论,用分类思想结合画图,就会豁然开朗。
动点问题,要在动中寻找不动的东西,即动中取静,本题中无论点P在x轴上如何运动,点B、点A以及∠ABQ都是定值(静的元素),还有两个全等三角形也是静的元素。另外,斟酌问题要全面,最后一个问题就有两种情况,这在解题中有的考生就有丢掉一个解。

在平时数学学习过程中,大家应多训练这种动态问题,只要基础知识非常扎实,所有综合题就都能化解为一个个基本问题来解决,这是做压轴题的基本保证。
通过这两道典型例题的分析,我们能够很清楚的看到,解决动点几何综合问题,有时候需要我们添加一些辅助线,把几何图形转化成三角形来解决,这样就让整个复杂问题变得更为“简单”。
大家一定要记住:与几何有关的动点类综合问题主要是以几何知识和具体的几何图形为背景,在几何图形中渗透运动变化的看法,通过点、线、形的运动,图形的平移、翻折、旋转等等把图形的有关性质和图形之间的数量关系和位置关系看作是在变化的、相互依存的状态之中。
中考数学,以三角形为基础的动点综合问题,典型例题分析3:
己知:正方形ABCD.
(1)如图1,点E、点F分别在边AB和AD上,且AE=AF.此时,线段BE、DF的数量关系和位置关系分别是什么?请直接写出结论.
(2)如图2,等腰直角三角形FAE绕直角顶点A顺时针旋转∠α,当0°<α<90°时,连接BE、DF,此时(1)中的结论是否成立,如果成立,请证明;如果不成立,请说明理由.
(3)如图3,等腰直角三角形FAE绕直角顶点A顺时针旋转∠α,当a=90°时,连接BE、DF,猜想沟AE与AD满足什么数量关系时,直线DF垂直平分BE.请直接写出结论.
(4)如图4,等腰直角三角形FAE绕直角顶点A顺时针旋转∠α,当90°<α<180°时,连接BD、DE、EF、FB得到四边形BDEF,则顺次连接四边形BDEF各边中点所构成的四边形是什么特殊四边形?请直接写出结论.


考点分析:
旋转的性质;全等三角形的判定与性质;线段垂直平分线的性质;正方形的性质;证明题。
题干分析:
(1)根据正方形的性质,AB=AD,由AE=AF,可得BE=DF且BE⊥DF;
(2)通过证明△DFA≌△BEA,可得(1)中的结论依然成立;
(3)连接BD,直线DF垂直平分BE,可得AD+AE=BD,解答出即可;
(4)如图,通过证明△DAF≌△BAE,可得DF=BE,结合(2)中结论,可得到各边中点所构成的四边形的形状;
解题反思:
本题考查了旋转的性质、全等三角形的判定和性质、线段的垂直平分线及正方形的性质,本题的综合性较强,掌握并熟练应用以上性质是解答本题的要害。
与几何相关的问题,本身对很多考生来说就一个重难点,如此类问题不仅包含众多的知识点,更需要通过添加辅助线来解决。如果几何问题还需要考生进行转化,把复杂图形转化成基本图形来解决,这要求考生必须具备一定的层次、深度推理能力,具备逻辑思维能力、基本图形分析能力和数学语言的表达能力等。
同时,如果大家要想学会把复杂图形转化成三角形,或是运用三角形知识去解决问题,那么你就一定要掌握三角形的基本知识内容,如三角形的内角和定理、三边不等关系、“五线”(高线、中线、角平分线、垂直平分线和中位线)的性质、全等与相似的性质与判定、等腰三角形、直角三角形的性质与判定等等。