
卡博替尼是一种可靶向MET、VEGFR、AXL、RET的多靶点激酶*制剂抑**,可通过减少调节性T细胞和髓样抑制细胞对肿瘤微环境产生影响。MET信号通路与尿路上皮癌的发病机制相关,多靶点激酶*制剂抑**卡博替尼已获批用于肾癌、甲状腺髓样癌和肝癌的一线或二线治疗。基于临床前研究和其他实体瘤中的研究结果,研究者开展了一项研究,以评估卡博替尼在铂类难治性转移性尿路上皮癌患者中疗效和安全性。近日,研究结果发表于《柳叶刀 · 肿瘤学》。
01 研究背景
含铂化疗方案是转移性尿路上皮癌的一线标准方案,总生存期(OS)为9-15个月,目前,有5种PD-1/PD-L1*制剂抑**已获FDA批准用于铂类难治性转移性尿路上皮癌,阿替利珠单抗和帕博利珠单抗已获FDA批准用于一线治疗,免疫治疗的客观缓解率(ORR)为14%~23%。此外,Erdafitinib已获FDA批准用于FGFR3和FGFR2突变铂类难治性转移性尿路上皮癌。
VEGF、VEGFR表达上调与晚期尿路上皮癌的侵袭性相关,多靶点酪氨酸激酶*制剂抑**,例如舒尼替尼和索拉非尼用于一线或二线治疗时的ORR低于10%时,帕唑帕尼用于转移性患者二线治疗时的ORR为17%,OS为4.7个月。
临床前研究中,抗血管生成*制剂抑**可潜在增加铂类的细胞毒功能,但一项III期研究显示贝伐珠单抗+吉西他滨+顺铂对比化疗并未改善OS(14.5个月 vs 14.3个月)。另有研究显示,舒尼替尼或帕唑帕尼联合化疗用于转移性患者可增加毒性且疗效也较差。
卡博替尼是一种可靶向MET、VEGFR、AXL、RET的多靶点激酶*制剂抑**,可通过减少调节性T细胞和髓样抑制细胞功能于肿瘤微环境。MET信号通路与尿路上皮癌的发病机制相关,多靶向激酶*制剂抑**卡博替尼已获批用于肾癌、甲状腺髓样癌和肝癌的一线或二线治疗。基于临床前研究和其他实体瘤中的研究结果,研究者开展了一项研究,以评估卡博替尼在铂类难治性转移性尿路上皮癌患者中疗效和安全性。
02 研究方法
这是一项开放标签、单臂、3队列II期临床研究。研究纳入年龄18岁或以上患者,经组织学确认为尿路上皮癌或罕见泌尿生殖系肿瘤,入组患者Karnofsky体能状态指数为60%或以上,至少经一种含铂化疗(铂难治性)后疾病进展。队列1包括了转移性尿路上皮癌患者,另外两队列患者为只有骨转移的尿路上皮癌患者和罕见泌尿生殖道组织学患者。入组患者接受卡博替尼(60mg,每日1次,28天为1周期),直至疾病进展或产生不可接受的毒性。主要终点是队列1患者的ORR。
03 研究结果
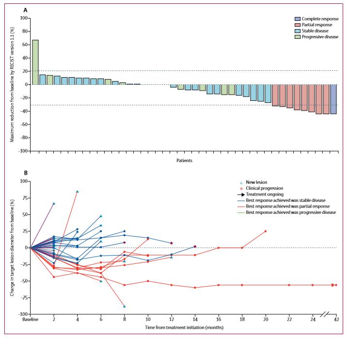
2012年9月28日至2015年10月20日期间,共68例患者纳入研究,1队列、2队列、3队列分别有49例、6例和13例患者,1队列中,有42例患者可评估疗效,ORR为19%(8/42)(图1),其中1例完全缓解(CR),7例部分缓解(PR),19例(45%)患者达到疾病稳定(SD),临床获益率为64%,15例(36%)患者疾病进展(PD)。

图1 在转移性尿路上皮癌中的抗肿瘤活性
2019年3月13日数据截止时,仍有2例患者存活,1例CR(研究时达到CR,已停止卡博替尼治疗3.5年),1例经卡博替尼治疗达到SD,后续经免疫联合治疗达到CR。
治疗持续时间见图2

图2 治疗持续时间
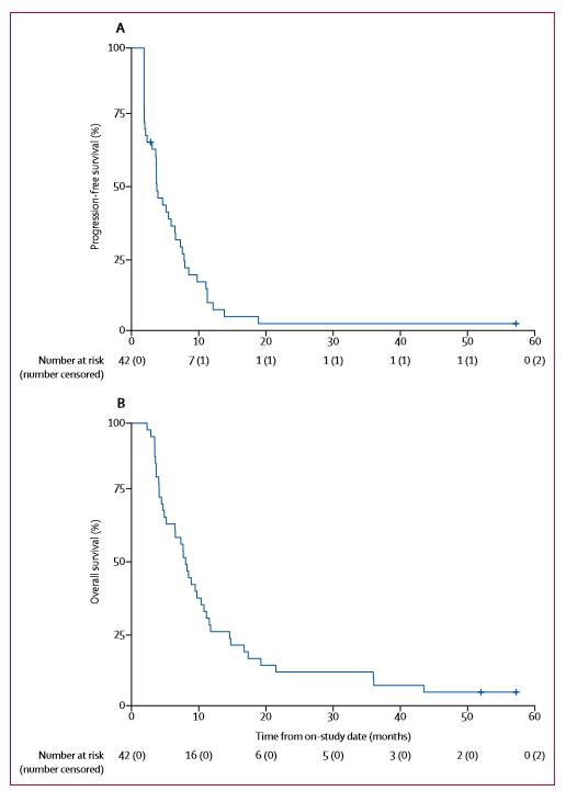
1队列的中位PFS为3.7个月,6个月PFS率为37%(图3A),12个月PFS率为10%,中位OS为8.1个月,6个月OS率为64%,12个月OS率为26%(图3B)。

图3 PFS和OS分析
04 研究结论
卡博替尼单药在经治、铂类难治性转移性尿路上皮癌和骨转移患者中显示了有希望的抗肿瘤活性,且耐受性良好,卡博替尼的免疫调节特性为卡博替尼联合免疫治疗提供了理论依据。
